3. 2 Cálculo de los coeficientes de transmisión de calor K
Siguiendo los criterios del Anexo 2, se calculan los coeficientes útiles de transmisión de calor K, de los elementos constructivos que delimitan el cerramiento del edificio, y que intervienen en el cálculo de KG, es decir:
|
KE |
Correspondiente a cerramientos en contacto con el ambiente exterior, como: - Cerramientos verticales de separación con el exterior. - Cerramientos inclinados más de 60° con la horizontal de separación con el exterior. - Forjados sobre espacios exteriores. |
|
KN |
Correspondiente a cerramiento de separación con otros edificios o con locales no calefactados, como: - Cerramientos verticales de separación con espacios cerrados no calefactados, o medianería entre edificios. - Cerramientos horizontales sobre espacios cerrados no calefactados de altura superior a 1 m. |
|
KQ |
Correspondiente a cerramientos de techo o cubierta, como: - Cubiertas inclinadas menos de 60° con la horizontal. - Cubiertas bajo el terreno. |
|
KS |
Correspondiente a cerramientos de separación con el terreno, como: - Soleras. |
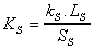
También podrá utilizarse para estos cálculos el coeficiente lineal de transmisión de calor k según se define en el Anexo 2, debiendo cumplirse que las pérdidas de calor por unidad de temperatura sean iguales con un método u otro. Es decir, que se cumpla la ecuación:
![]()
Siendo:
KS - Coeficiente de transmisión de calor del elemento en contacto con el terreno, en kcal/h m2 °C (W/m2 °C).
SS - Superficie de dicho elemento en contacto con el terreno, en m2.
kS - Coeficiente lineal de transmisión de calor del elemento en contacto con el terreno, en kcal/h m °C (W/m °C).
LS - Longitud perimetral del elemento en contacto con el terreno, en m.
De esta ecuación puede deducirse el KS:
![]()
3.3 Cálculo de la superficie total de cerramiento
Es la suma de las superficies de cada uno de los elementos constructivos que delimitan el cerramiento del edificio, en m2.
![]()
donde:
Suma de las superficies de los cerramientos en contacto con el ambiente exterior, en m2.
Suma de las superficies de los cerramientos de separación con otros edificios o locales no calefactados, en m2
Suma de las superficies de los cerramientos de techo o cubierta, en m2.
Suma de las superficies de los cerramientos de separación con el terreno, en m2.
Estas superficies se medirán exteriormente sin deducir gruesos de forjados o elementos estructurales que no constituyendo propiamente el cerramiento estén en contacto con el exterior.
3.4 Cálculo del volumen del edificio
Es el volumen encerrado por las superficies de los elementos de separación del edificio anteriormente definidas, V, en m3.
3.5 Cálculo del factor de forma
El factor de forma de un edificio f, es la relación entre la suma de las superficies de los elementos de separación del edificio y el volumen encerrado por las mismas.
![]()
donde:
f es el factor de forma, en m-1.
3.6 Cálculo del coeficiente global de transmisión de calor de un edificio KG
Es la media ponderada de los coeficientes de transmisión de calor de los distintos elementos de separación del edificio definidos anteriormente. Se calcula por medio de la expresión siguiente:

donde:
KG Coeficiente global de transmisión de calor de un edificio, en kcal/m2 h °C (W/m2 °C)
Como se indicó anteriormente en el apartado 3.2 el producto KS.SS puede ser sustituido por el producto kS.LS cuando se empleen los coeficientes lineales de transmisión de calor.
Para facilitar los cálculos y la verificación del cumplimiento de la exigencia del KG, se da a continuación un cuadro tipo en el que se expresan en cada uno de los apartados E, N, Q y S los distintos tipos de cerramientos que puedan existir en el proyecto del edificio, consignando sus superficies parciales, así como sus coeficientes de transmisión térmica K. Los distintos tipos de cerramientos deberán ser fácilmente identificables en el resto de la Documentación Técnica del Proyecto.
Ficha justificativa del cálculo del KG del edificio
El presente cuadro expresa que los valores de K especificados para los distintos elementos constructivos del edificio cumplen los requisitos exigidos en los artículos 4.° y 5 ° de la Norma Básica de la Edificación NBE-CT-79 «Condiciones Térmicas en los Edificios»
|
Elemento constructivo |
Superficie S |
Coeficiente K |
S K |
Coef. |
S S K |
|||||
|
Apartado E |
Tipo |
SE |
KE |
SEKE |
1 |
S SE KE |
||||
|
Huecos exteriores verticales, puertas, ventanas |
|
|
|
|
|
|
||||
|
Cerramientos verticales o inclinados más de 60° con la horizontal |
|
|
|
|
|
|
||||
|
Forjados sobre espacios exteriores |
|
|
|
|
|
|
||||
|
Apartado N |
Tipo |
SN |
KN |
SNKN |
0,5 |
S 0,5 SN KN |
||||
|
Cerramientos verticales de separación con locales no calefactados, o medianerías |
|
|
|
|
|
|
||||
|
Forjados sobre espacios cerrados no calefactados de altura > 1 m |
|
|
|
|
|
|
||||
|
Huecos, puertas, ventanas |
|
|
|
|
|
|
||||
|
Apartado Q |
Tipo |
SQ |
KQ |
SQKQ |
0,8 |
S 0,8 SQ KQ |
||||
|
Huecos, lucernarios, claraboyas |
|
|
|
|
|
|
||||
|
Azoteas (*C) |
|
|
|
|
|
|
||||
|
Cubiertas inclinadas menos de 60° con la horizontal |
|
|
|
|
|
|
||||
|
Apartado S |
Tipo |
SS |
KS |
SSKS |
0,5 |
S 0,5 SS KS |
||||
|
Soleras |
|
|
|
|
|
|
||||
|
Foriados sobre cámara de aire de altura |
|
|
|
|
|
|
||||
|
Muros enterrados o semienterrados |
|
|
|
|
|
|
||||
----------
---------------(4)
|
Factor de forma en m-1 |
|
|
Exigencia de la Norma (Art. 4º) |
|
Tipo de energía I II ® Factor de forma ------------- (3)
® Zona climática KG |
|
|
|
Cumplimiento de la exigencia de la Norma |
|
|
(*A) Estos coeficientes deben cumplir los requisitos exigidos en el artículo 5º de la Norma. Para los edificios situados en las islas Canarias será suficiente cumplimentar esta columna.
(*B) Como se indica en 3.2, pueden emplearse coeficientes lineales de transmisión de calor kS siempre que se cumpla la condición de que kS.LS = = KS. SS en kcal/h ºC (W/ºC).
(*C) Se puede incluir en este apartado las azoteas ajardinadas y forjados enterrados